前置知识:讲解017、讲解018、讲解036、讲解037 二叉树基础内容、建图、链式前向星建图、拓扑排序、拓扑排序的扩展技巧(讲的题就是有向无环图上做动态规划)、01 背包(题目5 需要)
上节课 讲述了几个常见的树型 dp 问题,熟悉了树型 dp 的解题套路
dfn 序
用深度优先遍历的方式遍历整棵树,给每个节点依次标记序号,编号从小到大的顺序就是 dfn 序

一个子树的序号是连续的,子节点的序号一定比父节点大
dfn 序 + 每颗子树的大小,可以起到定位子树节点的作用
如果某个节点的 dfn 序号是 x,以这个节点为头的子树大小为 y
那么可知,dfn 序号从 x ~ x+y-1 所代表的节点,都属于这个节点的子树
利用这个性质,节点间的关系判断(题目3、题目4),跨子树的讨论(题目5)就会变得方便
备注
dfn 序除了和树型 dp 相关,后续还和很多算法数据结构有关(树链剖分等)
后续内容会在【扩展】、【挺难】课程里安排讲述
题目1.到达首都的最少油耗
题目描述
给你一棵 n 个节点的树(一个无向、连通、无环图),每个节点表示一个城市,编号从 0 到 n - 1 ,且恰好有 n - 1 条路。0 是首都。给你一个二维整数数组 roads ,其中 roads[i] = [ai, bi] ,表示城市 ai 和 bi 之间有一条 双向路 。
每个城市里有一个代表,他们都要去首都参加一个会议。
每座城市里有一辆车。给你一个整数 seats 表示每辆车里面座位的数目。
城市里的代表可以选择乘坐所在城市的车,或者乘坐其他城市的车。相邻城市之间一辆车的油耗是一升汽油。
请你返回到达首都最少需要多少升汽油。
提示:
1 <= n <= 10^5roads.length == n - 1roads[i].length == 20 <= ai, bi < nai != biroads表示一棵合法的树。1 <= seats <= 10^5
测试链接
思路
题目输入双向图,无法确定哪个是父哪个是子,所以双向都存
递归要从树根到树叶,从父到子,所以要传父节点防止从子再递归回到父
答案
var (
graph [][]int // 图:邻接表
size []int // size[i]:i 子树的节点数
cost []int64 // cost[i]:i 子树的人都开车来到 i 节点,消耗多少汽油
theSeats int
)
func minimumFuelCost(roads [][]int, seats int) int64 {
theSeats = seats
// 路条数 + 1 就是城市数
n := len(roads) + 1
graph = make([][]int, n)
for i := range graph {
graph[i] = []int{}
}
for _, r := range roads {
graph[r[0]] = append(graph[r[0]], r[1])
graph[r[1]] = append(graph[r[1]], r[0])
}
size = make([]int, n)
cost = make([]int64, n)
f(0, -1)
return cost[0]
}
// 根据图,当前来到 cur 节点,cur 的父节点是 parent
// 遍历完成后,填好 size[cur]、cost[cur]
func f(cur, parent int) {
size[cur] = 1
for _, child := range graph[cur] {
if child == parent {
// 防止从子再递归回到父
continue
}
// 让子树填好 size[cur]、cost[cur]
f(child, cur)
size[cur] += size[child]
// child 子树汇聚到 child 代价
cost[cur] += cost[child]
// 汇聚到 child 的人开车到 cur 代价
// a/b 向上取整,可以写成 (a+b-1)/b
cost[cur] += int64((size[child] + theSeats - 1) / theSeats)
}
}题目2.相邻字符不同的最长路径
题目描述
给你一棵 树(即一个连通、无向、无环图),根节点是节点 0 ,这棵树由编号从 0 到 n - 1 的 n 个节点组成。用下标从 0 开始、长度为 n 的数组 parent 来表示这棵树,其中 parent[i] 是节点 i 的父节点,由于节点 0 是根节点,所以 parent[0] == -1 。
另给你一个字符串 s ,长度也是 n ,其中 s[i] 表示分配给节点 i 的字符。
请你找出路径上任意一对相邻节点都没有分配到相同字符的 最长路径 ,并返回该路径的长度。
示例 1:

输入:
parent = [-1,0,0,1,1,2], s = "abacbe"输出:
3解释:任意一对相邻节点字符都不同的最长路径是:
0 -> 1 -> 3。该路径的长度是 3可以证明不存在满足上述条件且比 3 更长的路径。
示例 2:

输入:
parent = [-1,0,0,0], s = "aabc"输出:
3解释:任意一对相邻节点字符都不同的最长路径是:
2 -> 0 -> 3。该路径的长度为 3
提示:
n == parent.length == s.length1 <= n <= 10^5- 对所有
i >= 1,0 <= parent[i] <= n - 1均成立 parent[0] == -1parent表示一棵有效的树s仅由小写英文字母组成
测试链接
答案
type Info struct {
MaxPathFromHead int // 一定要从头节点出发,相邻字符不等的最长路径长度
MaxPath int // 整棵树上,相邻字符不等的最长路径长度
}
var (
graph [][]int
S string
)
func longestPath(parent []int, s string) int {
S = s
n := len(parent)
graph = make([][]int, n)
for i := range graph {
graph[i] = []int{}
}
for i := 1; i < n; i++ {
graph[parent[i]] = append(graph[parent[i]], i)
}
return f(0).MaxPath
}
func f(node int) Info {
if len(graph[node]) == 0 {
// 叶子节点
return Info{1, 1}
}
max1 := 0 // 从子节点出发的最长链
max2 := 0 // 从子节点出发的次长链
maxPath := 1
for _, child := range graph[node] {
childInfo := f(child)
maxPath = max(maxPath, childInfo.MaxPath)
if S[node] != S[child] {
// node 和 child 相同的话就不符合相邻字符不等的要求了
if childInfo.MaxPathFromHead > max1 {
max2 = max1
max1 = childInfo.MaxPathFromHead
} else if childInfo.MaxPathFromHead > max2 {
max2 = childInfo.MaxPathFromHead
}
}
}
maxPathFromHead := max1 + 1
maxPath = max(maxPath, max1+max2+1)
return Info{maxPathFromHead, maxPath}
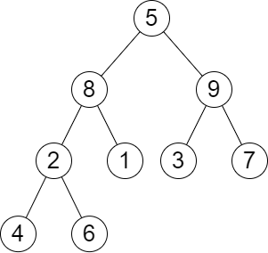
}题目3.移除子树后的二叉树高度
题目描述
给你一棵 二叉树 的根节点 root ,树中有 n 个节点。每个节点都可以被分配一个从 1 到 n 且互不相同的值。另给你一个长度为 m 的数组 queries 。
你必须在树上执行 m 个 独立 的查询,其中第 i 个查询你需要执行以下操作:
- 从树中 移除 以
queries[i]的值作为根节点的子树。题目所用测试用例保证queries[i]不 等于根节点的值。
返回一个长度为 m 的数组 answer ,其中 answer[i] 是执行第 i 个查询后树的高度。
注意:
- 查询之间是独立的,所以在每个查询执行后,树会回到其 初始 状态。
- 树的高度是从根到树中某个节点的 最长简单路径中的边数 。
示例 1:

输入:
root = [1,3,4,2,null,6,5,null,null,null,null,null,7], queries = [4]输出:
[2]解释:上图展示了从树中移除以 4 为根节点的子树。树的高度是 2(路径为
1 -> 3 -> 2)。
示例 2:

输入:
root = [5,8,9,2,1,3,7,4,6], queries = [3,2,4,8]输出:
[3,2,3,2]解释:执行下述查询:
移除以 3 为根节点的子树。树的高度变为 3(路径为
5 -> 8 -> 2 -> 4)。移除以 2 为根节点的子树。树的高度变为 2(路径为
5 -> 8 -> 1)。移除以 4 为根节点的子树。树的高度变为 3(路径为
5 -> 8 -> 2 -> 6)。移除以 8 为根节点的子树。树的高度变为 2(路径为
5 -> 9 -> 3)。
提示:
- 树中节点的数目是
n 2 <= n <= 10^51 <= Node.val <= n- 树中的所有值 互不相同
m == queries.length1 <= m <= min(n, 10^4)1 <= queries[i] <= nqueries[i] != root.val
测试链接
思路
dfn[i]:节点原始值i的 dfn 序size[i]:dfn 序为i的子树节点数deep[i]:dfn 序为i的子树深度
除去节点原始值 i:找到 dfn 序 j = dfn[i],找到节点个数 s = size[j],其子树 dfn 为 j~j+s-1,相当于在 deep 中去除 j~j+s-1 位置取最大值就是答案
如何快速计算去除连续一段子数组的数组最大值?
maxL[i]:0~i中最大值maxR[i]:i~n-1中最大值
答案
/**
* Definition for a binary tree node.
* type TreeNode struct {
* Val int
* Left *TreeNode
* Right *TreeNode
* }
*/
const (
MAXN = 1e5 + 2
)
var (
dfnCnt = 1
dfn = [MAXN]int{}
size = [MAXN]int{}
deep = [MAXN]int{}
maxL = [MAXN]int{}
maxR = [MAXN]int{}
)
func treeQueries(root *TreeNode, queries []int) []int {
dfnCnt = 1
f(root, 0)
for i := 1; i < dfnCnt; i++ {
maxL[i] = max(maxL[i-1], deep[i])
}
maxR[dfnCnt] = 0
for i := dfnCnt - 1; i >= 1; i-- {
maxR[i] = max(maxR[i+1], deep[i])
}
m := len(queries)
ans := make([]int, m)
for i := 0; i < m; i++ {
leftMax := maxL[dfn[queries[i]]-1]
rightMax := maxR[dfn[queries[i]]+size[dfn[queries[i]]]]
ans[i] = max(leftMax, rightMax)
}
return ans
}
// 来到 node 节点,从头节点到 node 节点经过了 k 条边
// 填好 dfn、size、deep
func f(node *TreeNode, k int) {
i := dfnCnt
dfnCnt++
dfn[node.Val] = i
size[i] = 1
deep[i] = k
if node.Left != nil {
f(node.Left, k+1)
size[i] += size[dfn[node.Left.Val]]
}
if node.Right != nil {
f(node.Right, k+1)
size[i] += size[dfn[node.Right.Val]]
}
}题目4.从树中删除边的最小分数
题目描述
存在一棵无向连通树,树中有编号从 0 到 n - 1 的 n 个节点, 以及 n - 1 条边。
给你一个下标从 0 开始的整数数组 nums ,长度为 n ,其中 nums[i] 表示第 i 个节点的值。另给你一个二维整数数组 edges ,长度为 n - 1 ,其中 edges[i] = [ai, bi] 表示树中存在一条位于节点 ai 和 bi 之间的边。
删除树中两条 不同 的边以形成三个连通组件。对于一种删除边方案,定义如下步骤以计算其分数:
- 分别获取三个组件 每个 组件中所有节点值的异或值。
- 最大 异或值和 最小 异或值的 差值 就是这一种删除边方案的分数。
- 例如,三个组件的节点值分别是:
[4,5,7]、[1,9]和[3,3,3]。三个异或值分别是4 ^ 5 ^ 7 = 6、1 ^ 9 = 8和3 ^ 3 ^ 3 = 3。最大异或值是8,最小异或值是3,分数是8 - 3 = 5。
返回在给定树上执行任意删除边方案可能的 最小 分数。
提示:
n == nums.length3 <= n <= 10001 <= nums[i] <= 10^8edges.length == n - 1edges[i].length == 20 <= ai, bi < nai != biedges表示一棵有效的树
测试链接
思路
无向图如何保证递归不会再从子节点递归回父节点?
- 题目1 方法:递归函数参数传入父节点,判断将要进入下层递归的是不是传入的父节点
- 本题方法:递归函数参数无需传入父节点,判断将要进入下层递归的节点有没有分配 dfn 序即可
题目没告诉哪个节点是头节点,因为是无向图,所以任取一点为头节点即可
答案
const (
MAXN = 1001
)
var (
theNums []int
graph [][]int
dfnCnt = 1
dfn = [MAXN]int{}
size = [MAXN]int{}
xor = [MAXN]int{}
)
func minimumScore(nums []int, edges [][]int) int {
n := len(nums)
theNums = nums
graph = make([][]int, n)
for i := range graph {
graph[i] = []int{}
}
for _, edge := range edges {
// 无向图
graph[edge[0]] = append(graph[edge[0]], edge[1])
graph[edge[1]] = append(graph[edge[1]], edge[0])
}
dfnCnt = 1
for i := 0; i < n; i++ {
dfn[i] = 0
}
f(0)
m := len(edges)
a, b := 0, 0
minn, mid := 0, 0
num1, num2, num3 := 0, 0, 0
ans := math.MaxInt
// 遍历两条要删除的边:O(n^2)
for i := 0; i < m; i++ {
a = max(dfn[edges[i][0]], dfn[edges[i][1]])
for j := i + 1; j < m; j++ {
b = max(dfn[edges[j][0]], dfn[edges[j][1]])
if a < b {
minn = b
mid = a
} else {
minn = a
mid = b
}
// minn 是最小的子树
// mid 是第二小子树
// 1 是整棵树
num1 = xor[minn]
if minn < mid+size[mid] {
// minn 是 mid 的子树
num2 = xor[mid] ^ xor[minn]
num3 = xor[1] ^ xor[mid]
} else {
// minn 不是 mid 的子树
num2 = xor[mid]
num3 = xor[1] ^ xor[mid] ^ xor[minn]
}
ans = min(ans, max(num1, num2, num3)-min(num1, num2, num3))
}
}
return ans
}
// 当前来到原始编号 node,遍历 node 的整棵树
// 填好 dfn、size、xor
func f(node int) {
i := dfnCnt
dfnCnt++
dfn[node] = i
size[i] = 1
xor[i] = theNums[node]
for _, child := range graph[node] {
if dfn[child] != 0 {
// 防止从子再递归回到父
// 有 dfn 序就代表遍历过,也就是父节点
continue
}
f(child)
size[i] += size[dfn[child]]
xor[i] ^= xor[dfn[child]]
}
}备注
掌握 的解即可,时间复杂度更好的解分析过程非常繁琐,用到启发式合并
不具备教学意义,有兴趣的同学可以研究
题目5.选课
题目描述
在大学里每个学生,为了达到一定的学分,必须从很多课程里选择一些课程来学习
在课程里有些课程必须在某些课程之前学习,如高等数学总是在其它课程之前学习
现在有 N 门功课,每门课有个学分,每门课有一门或没有直接先修课
若课程 a 是课程 b 的先修课即只有学完了课程 a,才能学习课程 b
一个学生要从这些课程里选择 M 门课程学习
问他能获得的最大学分是多少
数据规模:
1 ≤ N ≤ 3001 ≤ M ≤ 3001 ≤ ki ≤ N,ki表示第i门课的直接先修课,为 0 代表没有直接先修课1 ≤ si ≤ 20,si表示第i门课的学分
测试链接
普通解法
邻接表建图 + 相对好懂的动态规划
dp[i][j][k]:来到 i 号节点为头的子树,只在 i 号节点、及其 i 号节点下方的前 j 棵子树上挑选节点,一共挑选 k 个节点,并且保证挑选的节点符合先修课设定,最大的累加和
- 不要最后一个子树(即
j-1的子树):dp[i][j-1][k],只在前j-1课子树中选 - 要最后一个子树(分配给最后一个子树
s个名额,1 <= s < k):dp[i][j-1][k-s] + dp[last][len(graph[last])][s],前j-1课子树中选k-s个 + 最后一个子树选s个
几乎所有题解都是普通解法的思路,只不过优化了常数时间、做了空间压缩
但时间复杂度依然是
其中 是 dp 表大小, 是每个格子的枚举代价
package main
import (
"bufio"
"fmt"
"os"
"strconv"
)
const (
MAXN = 301
)
var (
n int
m int
ki int
graph = [MAXN][]int{} // 邻接表
nums = [MAXN]int{}
cache = [MAXN][][]int{}
)
func init() {
for i := range graph {
graph[i] = []int{}
}
}
func main() {
// s := `7 4
// 2 2
// 0 1
// 0 4
// 2 1
// 7 1
// 7 6
// 2 2`
// in := bufio.NewScanner(strings.NewReader(s))
in := bufio.NewScanner(os.Stdin)
in.Split(bufio.ScanWords)
out := bufio.NewWriterSize(os.Stdout, 4096)
for in.Scan() {
// 节点编号 0~n
n, _ = strconv.Atoi(in.Text())
in.Scan()
m, _ = strconv.Atoi(in.Text())
// 我们将没有直接先修课 0 也看作一个节点,所以要 +1
m++
build()
for i := 1; i <= n; i++ {
in.Scan()
ki, _ = strconv.Atoi(in.Text())
graph[ki] = append(graph[ki], i)
in.Scan()
nums[i], _ = strconv.Atoi(in.Text())
}
fmt.Fprintln(out, compute())
}
out.Flush()
}
func build() {
for i := 0; i <= n; i++ {
clear(graph[i])
}
}
func compute() int {
for i := 0; i <= n; i++ {
cache[i] = make([][]int, len(graph[i])+1)
for j := range cache[i] {
cache[i][j] = make([]int, m+1)
for k := range cache[i][j] {
cache[i][j][k] = -1
}
}
}
return f(0, len(graph[0]), m)
}
// 当前来到 i 号节点为头的子树
// 只在 i 号节点、及其 i 号节点下方的前 j 棵子树上挑选节点
// 一共挑选 k 个节点,并且保证挑选的节点符合先修课设定
// 返回最大的累加和
func f(i, j, k int) int {
if k == 0 {
// 没有节点可挑
return 0
}
if j == 0 || k == 1 {
// 下面没有子树了,或者只有一个节点名额
// 那么就只能调当前节点
return nums[i]
}
if cache[i][j][k] != -1 {
return cache[i][j][k]
}
// 不考虑最后一颗子树,在前面的子树中选
ans := f(i, j-1, k)
// last:最后一颗子树的头节点
last := graph[i][j-1]
for s := 1; s < k; s++ {
// 在前面的子树中选 k-s 个节点,在最后一颗子树上选 s 个节点
ans = max(ans, f(i, j-1, k-s)+f(last, len(graph[last]), s))
}
cache[i][j][k] = ans
return ans
}最优解
链式前向星建图 + dfn 序的利用 + 巧妙定义下的尝试
时间复杂度 ,觉得难可以跳过,这个最优解是非常巧妙和精彩的!
从 dfn 序由大往小推,推到某个节点可以确定是否要,不要的话其子树也不能要
dp[i][j]:i~n+1 dfn 序(原始序号 0~n,dfn 序 1~n+1)中选 j 个节点,保证挑选的节点符合先修课设定,最大的累加和
- 不选
i节点:dp[i+size[i]][j],i不选的话,要保证挑选的节点符合先修课设定,则i的子树也不能选 - 选
i节点:dp[i+1][j-1] + vals[i],选了i,再从i+1~n+1中选,名额少一个
package main
import (
"bufio"
"fmt"
"os"
"strconv"
)
const (
MAXN = 301
)
var (
n int
m int
ki int
nums = [MAXN]int{}
dp = [MAXN + 2][MAXN]int{} // +2: dfn 序多一个,i+size[i] 也可能多一个
// 链式前向星
edgeCnt = 1
head = [MAXN]int{}
next = [MAXN]int{}
to = [MAXN]int{}
// dfn
dfnCnt = 1
size = [MAXN + 1]int{} // +1: 原始序号 0~n,dfn 序 1~n+1
vals = [MAXN + 1]int{} // dfn 序的 nums
)
func main() {
in := bufio.NewScanner(os.Stdin)
in.Split(bufio.ScanWords)
out := bufio.NewWriterSize(os.Stdout, 4096)
for in.Scan() {
// 节点编号 0~n
n, _ = strconv.Atoi(in.Text())
in.Scan()
m, _ = strconv.Atoi(in.Text())
build()
for i := 1; i <= n; i++ {
in.Scan()
ki, _ = strconv.Atoi(in.Text())
addEdge(ki, i)
in.Scan()
nums[i], _ = strconv.Atoi(in.Text())
}
fmt.Fprintln(out, compute())
}
out.Flush()
}
func build() {
edgeCnt = 1
dfnCnt = 1
for i := 0; i <= n; i++ {
head[i] = 0
}
for i := 0; i <= m; i++ {
dp[n+2][i] = 0
}
}
func addEdge(f, t int) {
next[edgeCnt] = head[f]
to[edgeCnt] = t
head[f] = edgeCnt
edgeCnt++
}
func compute() int {
f(0)
// 节点编号 0 ~ n,dfn 序范围 1 ~ n+1
// 接下来的逻辑其实就是 01 背包!不过经历了很多转化
// 整体的顺序是根据 dfn 序来进行的,从大的 dfn 序,遍历到小的 dfn 序
// dp[i][j]: i ~ n+1 范围的节点,选择 j 个节点,保证挑选的节点符合先修课设定,最大的累加和
// 怎么定义符合先修课设定?重点!重点!重点!
// 假设 i ~ n+1 范围上,目前所有头节点的上方,有一个总的头节点
// i ~ n+1 范围所有节点,选出来 j 个节点的结构,
// 挂在这个假想的总头节点之下,是一个连续的结构,没有断开的情况
// 那么就说,i ~ n+1 范围所有节点,选出来 j 个节点的结构是符合先修课设定
for i := n + 1; i >= 2; i-- {
for j := 1; j <= m; j++ {
dp[i][j] = max(dp[i+size[i]][j], dp[i+1][j-1]+vals[i])
}
}
// dp[2][m]: 2 ~ n+1 范围上,选择 m 个节点,保证挑选的节点符合先修课设定,最大的累加和
// 最后来到 dfn 序为 1 的节点,一定是原始的 0 号节点
// 原始 0 号节点下方一定挂着有符合先修课设定
// 并且和补充的 0 号节点一定能整体连在一起,没有任何跳跃连接
// 于是整个问题解决
return vals[1] + dp[2][m]
}
// 填好 size、vals
// 返回 node 这颗子树的 size
func f(node int) int {
i := dfnCnt
dfnCnt++
size[i] = 1
vals[i] = nums[node]
for ei := head[node]; ei > 0; ei = next[ei] {
size[i] += f(to[ei])
}
return size[i]
}备注
最优解属于动态规划的状态设计优化,还属于启发式合并
这两个部分的内容会在【扩展】、【挺难】课程里安排